一、浮点数运算
题目
判断浮点数的运行结果是否相等:
a = 0.1
b = 0.2
c = 0.3
assert a + b == c
题目解析:
本题考查的是计算机的浮点运算知识点。不仅是 python 语言,其他的编程语言也面临同样的问题:在进行浮点运算的时候,10 进制表示方式会丢掉它的精度,造成运算结果与实际结果不符合。
这是由于底层 CPU 和运算标准通过自己的浮点单位去执行算术时的特征决定的。看似有穷的小数, 在计算机的二进制表示里却是无穷的。
所以在进行高进度浮点运算的时候一定要注意,尤其是自动化测试过程中需要进行断言非常容易出错。
题目答案:
断言失败,抛出 AssertionError 错误。
解决方案:
使用 Decimal 模块:
from decimal import Decimal
a = 0.1
b = 0.2
c = 0.3
assert Decimal(str(a)) + Decimal(str(b)) == Decimal(str(c))
Decimal() 可以维持浮点数的精度,在金融领域和测试领域等精度要求高的行业有非常大的作用。 但是一定要注意: Decimal() 传的参数一定要是字符串类型,如果是数据类型会再次丢掉精度。
Decimal(0.1) + Decimal(0.2) == Decimal(0.3) # False
Decimal('0.1') + Decimal('0.2') == Decimal('0.3') # True
二、列表的扁平化和降维
题目
有一个二维列表,降成普通的一维的。比如说柠檬班都会有学员分组,我们想通过分组信息去获取所有的学员名称。
groups = [['huahua', 'xiaojian'], ['musen', 'yuze'], ['keyou']]
# 得到结果 ['huahua', 'xiaojian', 'musen', 'yuze', 'keyou']
方法一
最简单的方式可以通过 for 循环的方式一一提取:
names = []
for group in groups:
for name in group:
names.append(name)
print(names)
方法二
但是在面试的时候可能会加一些限制,比如让你用一行代码实现,这个时候就需要对 python 基础有进一步的理解了,比如说使用 sum 函数:
names = sum(groups, [])
非常简单就实现了同样的功能。 sum 函数为什么可以做到呢?先看一个简单的例子:
a = sum([1,2,3])
得到的结果是 6, 也就是说, sum 函数会把一个列表里面的每个元素相加。但是 sum 函数还可以有第二个参数:开始值,默认为 0 , 所以上述过程其实可以写成:
a = sum([1,2,3], 0)
# 0 + 1 + 2 + 3
依据同样的道理,可以对列表进行降维操作:
a = sum([['yuze'], ['is'], ['a']], [])
# [] + ['yuze'] + ['is'] + ['a']
# 列表拼接
方法三
通过列表推导式也可以方便的解决:
a = [e for group in groups for e in group]
三、多重继承
class A:
def run(self):
print("a is running")
class B:
def run(self):
print("b is running")
class C(A, B):
pass
# 会打印什么???
C().run()
多重继承经常用来出面试题。在这个考题中,C 类的父类 A 和 B 都实现了 run 方法,那在 C 的对象里到底是优先调用哪一个呢?
答案是: a running
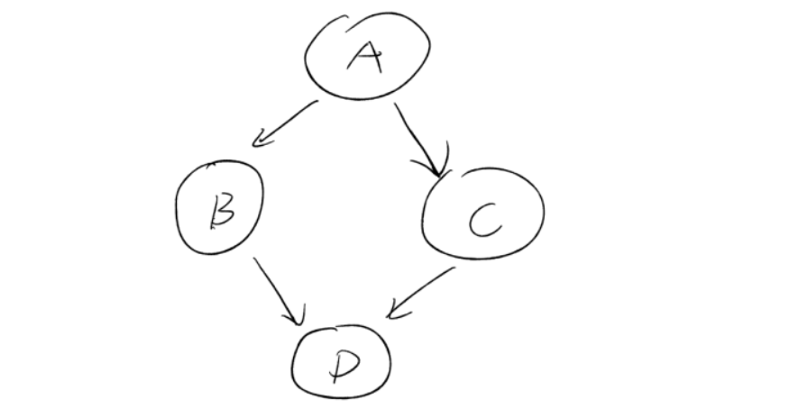
菱形问题
class A:
def run(self):
print("a running")
class B(A):
pass
class C(A):
def run(self):
print("C running")
class D(B, C):
pass
# 会打印什么???
D().run()
他们的继承关系图可以简化如下,这个问题又称为菱形问题或者钻石问题:

答案是: c running
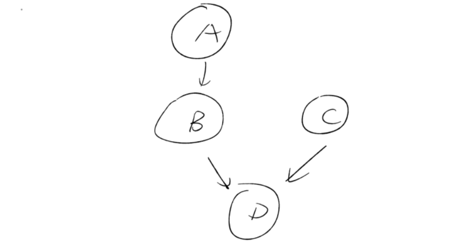
如果我们不让 C 类继承 A 呢?
class A:
def run(self):
print("a running")
class B(A):
pass
class C:
def run(self):
print("C running")
class D(B, C):
pass
# 会打印什么???
D().run()
他们的继承关系图可以简化如下,可以简称为 v 型问题:

答案会变成 a running
题目解析
具体原因是 python 的继承会遵循特定的顺序,优先级排在前面的,子类会优先使用。怎么快速查看这种继承顺序呢?通过D.__mro__去查看
比如在 菱形问题上,d 的顺序是这样的:
(<class '__main__.D'>, <class '__main__.B'>, <class '__main__.C'>, <class '__main__.A'>, <class 'object'>)
D 排在最前面,如果 D 定义了 run 方法,就会被优先使用,然后是 B, 然后是C, 然后是 A, 最后是 object 基类。
而在 V 行问题上,d 的顺序又变成了这样:
(<class '__main__.D'>, <class '__main__.B'>, <class '__main__.A'>, <class '__main__.C'>, <class 'object'>)
A 和 C 互换了顺序。造成 2 个题目的答案不一致。
欢迎来到testingpai.com!
注册 关于